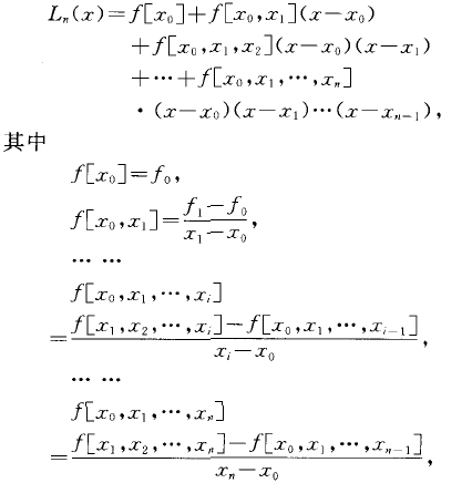
何为内插法

何为内插法

春令 2025-10-14 硬件 2 次浏览 0个评论

  

  瞳孔是人体的一个重要部位,瞳孔指的是虹膜中间的开孔,光线经由它进入眼内,一般而言,眼睛里的虹膜呈圆盘形状,中间的那个小圆孔就是瞳孔。在光线强烈的时候,瞳孔收缩,光线较弱的时候,瞳孔发散。主管瞳孔夸张收缩的是两种微小的肌肉,一种叫瞳孔括约肌,另一种叫瞳孔开大肌。瞳孔括约肌围绕在瞳孔的周围,受动眼神经中的副交感神经支配;瞳孔开大肌呈放射状排列,受交感神经支配。人类和大部分动物的虹膜会不自觉地调整瞳孔的大小,以此调节进入眼中的光线强度。

  瞳孔的形状由玻璃体的光学特征、视网膜的敏感程度和形状、物种生存的环境以及它们的需求所决定。包括人类在内的大部分生物的瞳孔都是圆形的,但是经仔细观察,就会发现山羊的瞳孔是横横的一条粗线,接近长方形,这是为什么?长方形的瞳孔又给羊带来了什么好处呢?

何为内插法

  长方形的瞳孔和羊长得偏向头两侧的双眼有着共同的原因,这都是进化使然,作为被捕食的动物,它必须时刻注意观察周围环境,才能及时逃跑。双眼的位置让它有了广阔的视野,而长方形的瞳孔进一步增大了羊逃跑的概率,长方形瞳孔有着类似广角镜头的功能,羊的视野范围在320~340度之间,就是说,即使它们不转动头也能把周围的物体都看个大概。稍微动一下头部,周围的整个环境一目了然。

何为内插法

  但是,羊尽管有宽广的水平视野,垂直视野却较窄,也就是说对于隐藏在树上的捕捉者,羊的反应要迟钝上许多,常常因为观察不到而被捕食。牛 艳

转载请注明来自夕逆IT,本文标题:《何为内插法》

每一天,每一秒,你所做的决定都会改变你的人生!

发表评论

快捷回复:

评论列表 (暂无评论,2人围观)参与讨论

还没有评论,来说两句吧...